The Toxic Principle of the Rhododendron
J. H. Fellman
University of Oregon Medical School
Portland, Oregon
The species Rhododendron , championed for its beauty, heralded by its admirers as the most graceful and elegant of flora, has sequestered within its foliage and blossoms an interesting chemical compound which has commanded the attention of men since antiquity. More recently, renewed interest has been given the plant family Ericaceae , in which the rhododendrons are subsumed because they have been shown to contain a chemical, extraordinarily potent, which itself may be, or lead researchers to, an effective treatment of hypertension.
The study of these unique compounds begins with the earliest memoirs of mankind. Xenophon's troops were poisoned with honey found near Trebizonde in northern Asia Minor and the historian Pliny described poisonous honey found at Heraclea in the Pontus in Asia Minor. He recorded that many Greek soldiers fell ill after eating quantities of honey which was derived from the rhododendron nectar; the honey had a strong odor which caused sneezing and when eaten, thirst, perspiration and pain. The species R. chrysanthum is thought to be the offender.
As the years and centuries drifted by, no specific mention is made of Rhododendron species in any medicinal connection. Its toxicity as well was overlooked by the ancients. The plant is not described or any uses attributed to it in the Herbal of Rutinus (13th century AD), Blanches's Herbal printed in 1525 or Pharmacopeia Londinensis, 1600. The earliest Renaissance reference to it is in 1581 " - and Rhododaphne (a synonym attributed to Pliny) which beinge taken inwardly poysoneth."
The earliest scientific investigations of the active principle of the rhododendron took place the latter half of the 19th century and in the early part of the 20th century. This was a period of energetic investigation of the active principles contained in medicinal plants. The important contribution of digitalis to the pharmacopoeia of the world stimulated researchers into the area of natural products. In 1882 Eykman isolated and purified the toxic named it Asebotoxin. Following his principle of Andromeda japonica and careful work Pluggee in a similar fashion isolated this substance from other Andromeda species as well as from the azalea and rhododendron and gave it the name of andromedotoxin. Finally in 1901 Archangelsky carried out exhaustive investigation of the chemical substances in leaves of Rhododendron chrysanthum and isolated three materials - andromedatoxin, rhododendron and rhododendrol. This classical investigation included specific methods for the isolation of these compounds as well as some of their physical and chemical properties and their pharmacological effects. He described these latter effects in detail after carrying out experiments on dogs. While he expanded and detailed the descriptions of the physiological and pharmacological effects of previous workers, it was he who observed the specific effects this substance has on blood pressure and described the profound depression of a dog's blood pressure after being given small doses of andromedatoxin.
It seems surprising that these stimulating observations should go unnoticed by the scientific world, but such was the case. The hiatus terminated in 1942 when a Japanese investigator re-opened the issue and isolated the three substances - rhododendrol, rhododendrin and andromedatoxin. He was able to show that rhododendron could be converted to rhododendrol by simple hydrolysis. The result was a substance which he identified as a simple phenol and glucose (Fig. 8).
|
| Fig. 8. |
An interesting facet to this problem was re-opened in 1949 when a Turkish investigator described a method for determining andromedatoxin in honey made by bees which gather nectar from rhododendron plants. This test was based upon the physiological response of mice and guinea pigs to injections with extracts of the honey and clearly demonstrated in modern terms, the observations of Pliny. It is of interest that these investigations were carried out in precisely the same area in which Pliny described the Greek soldiers falling ill from consuming honey derived from the rhododendron plants.
In a relatively recent publication, some Russian investigator described clinical trials of rhododendron extracts. They prepared their extracts from rhododendron, R. chrysanthum , R. ponticum , R. flavum and R. dauricum . They described these effects in clinical trials as similar to strophanthin and digitalis, two drugs commonly used for the treatment of heart disease, but did not pursue the issue further.
Studies have revealed a wide distribution of the toxin in a number of Ericaceae. More specifically, a survey of some of the rhododendron species and hybrids has indicated a wide but not invariable distribution of the toxic principle in the nectar. For example, it is present in R. thomsonii but absent in R. neriiflorum , and is present in 'Firey Cross' but absent in 'Mayday.'
While the identification of andromedatoxin in the West Coast species rhododendron had been carried out by American investigators, a truly rigorous examination of this problem took place in this country in the middle 1950's by a group at the National Institutes of Health. This group working with extracts prepared from Rhododendron maximum isolated and partially characterized andromedatoxin. Despite their exhaustive chemical investigation of what is known to be a relatively simple chemical molecule, they have been unable precisely to delineate its structure. The group at the National Institutes of Health did however, carry out some brilliant researches on the physiological actions of this substance. Working with dogs and cats they were able to show that extremely small amounts of this substance injected into these animals precipitously lowered the blood pressure. Doses as small as one part in 10 million injected into dogs dropped the blood pressure by 40%. They have been able to show as well, precisely where in the circulatory system this substance acts, and provide us with a detailed mechanism of its action.
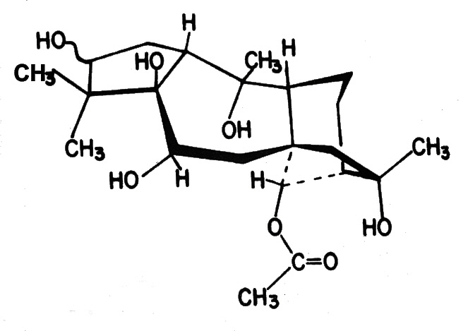
In 1961 a group of Japanese investigators published the results of their brilliant effort, and provided a structural formula for the active principle acetylandromedol, as it is now termed. Just recently the final crossing of the "t's" and dotting of the "i's" of the structure of this molecule occurred when an American investigator detailed the stereochemical structure of andromedotoxin (acetylandromedol). (Fig. 9)
|
| Fig. 9 |
Now that this brilliant tour de force has been announced. scientists are provided with a model from nature that they may modify for the specific amelioration of human diseases. It is not idle speculation to say that investigations like these expand our understanding of disease processes and provide us with clues for the ultimate solutions for the medical problems of mankind.