Fall Foliage Coloration Of Native Northeastern Azaleas
Norman E. Pellett and Karen Alpert
University of Vermont
Burlington, Vermont
Introduction:
An earlier article published in this journal (January, 1988) "Flowering of Flame and Roseshell Azaleas" described the flowering behavior of seed sources of two species of native deciduous azaleas when cultivated in Vermont. The present report describes observations of fall coloration of these and two other native species,
Rhododendron canadense
and
R. viscosum
. We collected seed from the northernmost regions and higher elevations where the species are endemic. Knowledge of the behavior of these seed sources may help identify the diversity and ornamental qualities useful for selection and breeding.
| Table 1. Location for native azaleas used in this study. | |||
| Species Seed Source |
Latitude
(°N) |
Longitude
(°W) |
Elevation
(ft) |
| R. calendulaceum | |||
| Wayah Bald NC | 35°10' | 83°34' | 4200 |
| Mt. Pisgah NC | 35°25' | 82°45' | 5500 |
| BRP 1 408 NC | 35°34' | 82°45' | 4916 |
| BRP 338 NC | 35°50' | 82°03' | 3692 |
| Dolly Sods VW | 38°57' | 79°22' | 4000 |
| Kerens WV | 39°02' | 79°49' | 2250 |
| R. canadense | |||
| Packardville MA | 42°21' | 72°23' | 920 |
| Island Pond VT | 44°52' | 72°54' | 1300 |
| R. prinophyllum | |||
| Dolly Sods,VW | 38°57' | 79°22' | 4000 |
| Summit NY | 42°33' | 74°32' | 1950 |
| Wendell MA | 42°34' | 72°26' | 1100 |
| Lake Dunmore VT | 43°53' | 73°04' | 600 |
| Wolcott VT | 44°34' | 72°25' | 1196 |
| R. viscosum | |||
| BRP 408 NC | 35°24' | 82°45' | 4916 |
| Packardville MA | 42°21' | 72°23' | 920 |
| 1 BRP = milepost number on the Blue Ridge Parkway. | |||
Materials and Methods:
Seeds of four species were collected from numerous plants in woodlands within each natural habitat (seed source) during the years 1978 to 1980 (Table 1). Seeds were germinated in the greenhouse and grown in outdoor beds for two years before planting as 2-yr plants in north-south oriented rows in three replicates. Each plot was planted with 24 plants one foot apart in the rows with rows three feet apart. Plants were irrigated daily with a trickle irrigation system and fertilized twice annually with ammonium sulfate and 15-15-15 applied approximately May 15 and July 1. Soil was a loamy sand.
Fall color was recorded weekly during September and October in 1983 and 1984 in two ways. The quality of fall foliage color was rated where:
1 = no fall color, foliage predominantly green or brown,
2 = poor fall color, foliage other than green,
3 = leaves yellow, purple or red, but not fully developed,
4 = good color, most foliage with predominant shades of yellow, purple, bronze or red, and
5 = highly attractive with uniform yellow, bronze or red leaves.
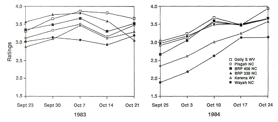
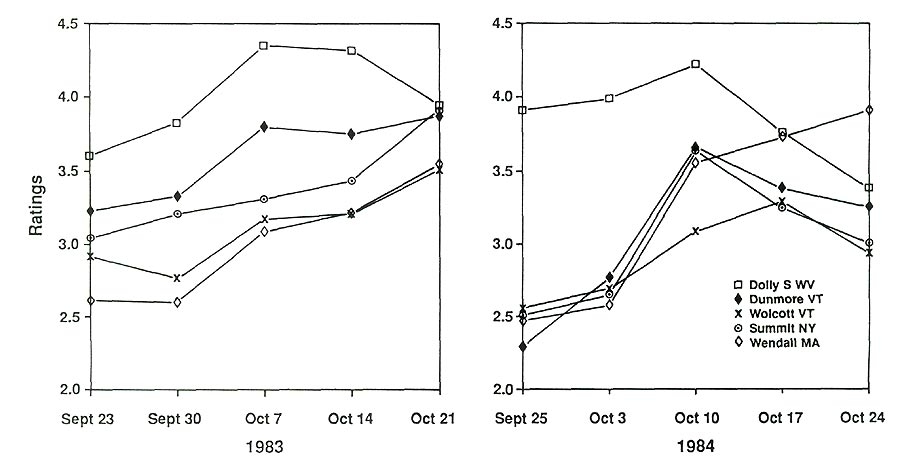
The mean of these values is presented in Figure 1 and 2 for two species.
A second measure of fall color was recorded as the number of plants in each replicate with predominantly bright red fall foliage. On the last two data collection dates of each year, the percentage of plants retaining leaves was recorded (Table 2).
Means of the two measures of fall coloration were ranked among the seed sources, best to worst on each date for each species (Table 3). The ranks for the source of each species were then summed for all dates each year. This procedure allowed comparison of two methods to determine whether they gave the same results as measures of fall color.
| Table 2. Percent of plants retaining leaves during fall foliage drop. | ||||
| 1983 | 1984 | |||
| Species Seed Source | 10/14 | 10/21 | 10/17 | 10/24 |
| R. calendulaceum | ||||
| Wayah Bald NC | 93a 2 | 59ab | 88a | 42a |
| Mt. Pisgah NC | 93a | 52ab | 46b | 18a |
| BRP 408 1 NC | 93a | 37b | 53b | 24a |
| BRP 338 NC | 95a | 73a | 76ab | 44a |
| Dolly Sods WV | 92a | 64ab | 54b | 22a |
| Kerens WV | 90a | 48ab | 50b | 24a |
| R. canadense | ||||
| Packardville MA | 92a | 69a | 83a | 14a |
| Island Pond VT | 94a | 71a | 72a | 3a |
| R. prinophyllum | ||||
| Dolly Sods WV | 93a | 58a | 67a | 14a |
| Summit NY | 94a | 47a | 33b | 1b |
| Wendell MA | 83a | 42a | 44ab | 16a |
| Lake Dunmore VT | 78a | 47a | 36b | 6b |
| Wolcott VT | 92a | 51a | 58ab | 21a |
| R. viscosum | ||||
| Packardville MA | 99a | 88a | 94a | 66a |
| BRP 408 NC | 100a | 35b | 23b | 10b |
|
1
BRP = milepost number on the Blue Ridge Parkway.
2 Percent means in a column followed by the same letter for a species are not significantly different using Duncans Multiple Range Test (.05) |
||||
| Table 3. Ranking by seed source of four azalea species of fall foliage color for two measures of fall foliage color. | ||||
|
|
Rankings for each species 1 | |||
| Species Source 2 | 1-5 Ratings | Red Leaves | ||
| 1983 | 1984 | 1983 | 1984 | |
| R. calendulaceum | ||||
| Dolly S WV | 1 | 1 | 1 | 1 |
| Pisgah NC | 4 | 2 | 2 | 2 |
| BRP 338 NC | 2 | 3 | 5 | 6 |
| BRP 408 NC | 3 | 4 | 3 | 4 |
| Kerens WV | 5 | 5 | 4 | 3 |
| Wayah NC | 6 | 6 | 6 | 5 |
| R. canadense | ||||
| Island P VT | 1 | 1 | 1 | 1 |
| Packard MA | 2 | 2 | 2 | 2 |
| R. prinophyllum | ||||
| Dolly S WV | 1 | 1 | 2 | 1 |
| Dunmore VT | 2 | 2 | 1 | 5 |
| Summit NY | 3 | 4.5 | 3 | 5 |
| Wendell MA | 5 | 3 | 5 | 2 |
| Wolcott VT | 4 | 4.5 | 4 | 4 |
| R. viscosum | ||||
| Packard. MA | 1 | 1 | 1 | 1 |
| BRP 408 NC | 2 | 2 | 2 | 2 |
| 1 Rankings for the two measures of fall foliage color. Plants were rated for quality of foliage and for the percentage of plants having red leaves. For each species on each date, the seed sources were ranked best to worst (1 = best). The ranks were then summed for all dates each year and the sums were ranked for the sources within species. | ||||
| 2 Source of seed is more precisely described in Table 1 | ||||
Results and Discussion:
Fall color was quite variable from plant-to-plant and among seed sources. Most plants of most seed sources developed good fall color at some time, but the date varied. However, there were differences among seed sources of each species. Good fall color, once developed, was persistent until leaf drop for most plants. Generally, rapid leaf drop (Table 2) occurred between October 14 and 21 during 1983 and between October 17 and 24 during 1984, soon after the peak of color (Figures 1 and 2). Seed sources with slower development of fall color generally dropped their foliage near the same time as others, therefore having a shorter period of good color.
R. calendulaceum , Flame azalea - Plants from Dolly Sods WV had the highest ranking for both measures of fall color during both years (Table 3). Dolly Sods plants had slightly higher ratings for fall color at the peak of color on October 7, 1983 and October 10, 1984 although not significantly higher than other sources (Fig. 1). Plants from the southernmost location, Wayah Bald NC had the poorest color on the three earlier dates (Fig. 1). Other seed sources were less consistent in their relative rankings (Table 3) and mean quality of color (Fig. 1). Interestingly, plants from Kerens, the other West Virginia site, at lower elevation than Dolly Sods, tended to have poor fall color ratings more similar to the Wayah Bald NC site.
Date of leaf drop was quite variable among seed sources for the two years (Table 2). More plants from BRP 338 NC and Wayah Bald NC tended to retain their leaves longer than other sources of the flame azalea although differences were not consistently significant.
|
|
Figure 1. Fall Foliage Color Quality Ratings (1 to 5 where 1 = poor, 5 = excellent)
for Rhododendron calendulaceum , Flame Azalea. |
|
|
Figure 2. Fall Foliage Color Quality Ratings (1 to 5 where 1 = poor, 5 = excellent)
for Rhododendron prinophyllum, Roseshell Azalea. |
R. canadense , Rhodora - Ratings of fall color of plants from Island Pond VT were not significantly different than plants from Packardville MA (data not presented). Color ratings on October 10, 1984 were 4.0 and 3.8 on the 1 to 5 scale for Vermont and Massachusetts plants, respectively. Both sources provided colors among the best for the azaleas compared. However, when the two sources were ranked for the two measures of color, the Vermont plants were better than the Massachusetts plants (Table 3). The date of leaf drop was not significantly different for the two sources.
R. prinophyllum Roseshell azalea - Plants from Dolly Sods WV, the southernmost and highest elevation for the seed sources generally gained their fall color earlier, kept it longer and displayed higher intensity at the peak than other sources (Fig. 2). Dolly Sods plants generally had the highest color rankings (Table 3). Other sources were not significantly different from each other over the two years. The five sources were not significantly different in percent of plants retaining leaves (Table 2).
R. viscosum , Swamp azalea - Plants from Packardville MA, a low elevation northern site were compared with plants from BRP 408 NC, a southern site with higher elevation. Both sources had good fall color, but Massachusetts plants had higher ratings on most dates during the two years (data not shown). When ranked for the two measures of color over two years, the Massachusetts plants were ranked higher every time (Table 3). The Massachusetts plants retained their leaves longer than North Carolina plants during both years (Table 2).
Conclusions:
There were differences in the timing and quality of fall color based on location of seed source. For
R. calendulaceum
, the northernmost source, Dolly Sods WV, tended to have the best fall foliage color and the southernmost source, Wayah Bald NC had the poorest fall color and also retained its leaves longer than other sources. For
R. canadense
, the northernmost source, Island Pond VT may have had a slightly better fall color, but time of leaf fall was not different.
For R. prinophyllum , the southernmost but highest elevation source, Dolly Sods WV had the earliest and best fall foliage color of the seed sources, but there was no significant difference from other sources in leaf fall. For R. viscosum , the northernmost source, Packardville MA had better and more consistent fall color than the plants from BRP 408 NC and retained their foliage better.