Notes on the Berg-Yunnan Exploratory Trip
Bruce Leber
Kirkland, Washington
Rhododendrons on Limestone
George Forrest, Francis Kingdon-Ward, Peter Cox, and others noted rhododendrons growing on limestone. Forrest suggested that the main reason for the proliferation of species rhododendrons in southwest China was the dolomitic soil. But, conventional wisdom holds that rhododendrons need acid soil.
The Berg-Yunnan expedition provided me a fine opportunity to see the plants in their native habitat and to test the soil for acidity. We did not see the R. chartophyllum [syn. R. yunnanense ] reported by Forrest to grow on pure limestone, nor did we find other rhododendrons growing on rock. In every case of natural seeding, we found the rhododendrons growing in a layer of dark soil, rich in humus, overlaying the dolomitic limestone.
The pH readings shown on the accompanying chart were taken with a portable pH meter. In general I found the soil to be much more acid than expected considering the limestone base. Some experts in the Pacific Northwest advise adding dolomite to any rhododendron soil with a pH below the so-called ideal of 4.5 to 5.0. It is apparent from my observations that more work needs to be done in this field.
| Berg-Yunnan 1989 Trip: Soil pH Readings | ||
| Geographical Area | Plant | Soil pH |
| Lijiang, behind temple | R. racemosum , near roots (recently transplanted into clay soil) | 6.7 |
| Yulong Shan, base of Mt. Litiping | R. yunnanense , root ball | 7.1 |
| Litiping | R. rubiginosum, root ball | 4.7 |
| Litiping | R. rubiginosum, root ball | 4.4 |
| 99 Dragon Pool | R. wardii, root ball | 4.5 |
| 99 Dragon Pool | R. roxieanum, root ball | 4.4 |
| 99 Dragon Pool | Roadbed, R. fictolacteum & R. roxieanum seedlings | 6.1 |
| 99 Dragon Pool | Boggy meadow, R. tapetiforme, root ball | 4.6 |
| 99 Dragon Pool | Upper meadow, R. racemosum root ball | 4.8 |
| Cangshan Mts. | Road cut, R. rubiginosum, root ball | 4.9 |
| soil below root ball | 5.8 | |
| rock layer (shattered limestone) | 6.1 | |
Yunnan Weather
Guidebooks to China note that Kunming, Dali and Lichiang have "monsoon" climates. What do they mean by that?
The Encyclopedia of Climatology says that Kunming has a recorded maximum temperature of 91°F and a minimum of 22°F. Annual rainfall averages 40.5 inches. Any rhododendron native to the surrounding hills of Kunming would probably do well in the Seattle-Portland area with our maximum temperatures of about 100°F, normal minimum of about 10°F, and rainfall of about 35 inches. From the listed facts it would seem that both areas have about the same type of weather.
However, I have had problems growing R. bureavii . It would curl up and die in Seattle's annual August dry spell, when all other rhododendrons adjacent were rather dry but healthy. It looked like it had Phytophthora root rot. Darn those sloppy propagators!
After seeing the home of these plants in China and experiencing the weather, I think my problems with R. bureavii could be due to letting it get too dry. A mid-summer dryness that doesn't bother 'Unique' or R. yakushimanum could be fatal to R. bureavii .
The rain that hit the Berg-Yunnan exploratory trip tents at 99 Dragon pool on the 24th and 25th of May made us realize that we certainly weren't in Kansas, Toto. About two inches of rain fell in 24 hours and the temperature on the morning of May 25th was 40°F.
One of the local forest rangers thought this might well be the start of the monsoon season and it could rain like this every day until September. At his elevation of 10,000 feet he expected two meters of precipitation every year, mostly in June, July and August. What fell from September thru April would come as snow and he expected about two meters of snow in the winter months.
This rainfall pattern is much different from our Seattle winter rain surplus and normal summer drought. Is it any wonder that R. bureavii sometimes shows stress here in July with our hot days and sporadic watering when it evolved in the Yunnan mountains where it could expect 15 or 20 inches of cool rain to speed the new growth?
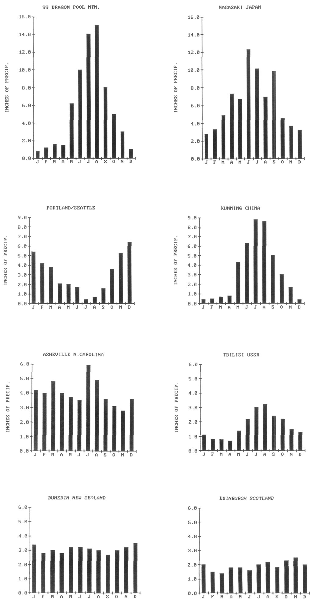
What about rainfall patterns in other areas? The accompanying graphs of the rainfall patterns of some recognized rhododendron growing areas were developed with data from the Encyclopedia of Climatology , Oliver and Fairbridge, Van Nostrand, 1987.
Where information was available, the rainfall amounts shown are 30 year averages. The areas selected and species somewhat local to the areas are as follows: 99 Dragon Pool Mountain - Kunming, China, R. wardii , R. yunnanense , R. rubiginosum and R. taliense ; Nagasaki, Japan, R. yakushimanum , R. degronianum ; Tbilisi, USSR, R. caucasicum , R. ponticum ; Asheville, North Carolina, R. catawbiense , R. calendulaceum ; Portland, Oregon / Seattle, Washington, R. occidentale , R. macrophyllum . The other charts represent areas where rhododendrons are widely grown.

Bruce Leber, a retired printing ink manufacturer with a degree in chemistry, collects rhododendrons, mainly species. He became curious about their cultural requirements one fairly dry summer when two four foot high R. bureavii died, while adjacent plants did very well.